automi a stati finiti

sistema per dire se una stringa è fatta in un certo modo

come per le espressioni regolari:


espressioni regolari vs. automi

espressioni regolari
si scrive la forma delle stringhe da cercare
automi
meccanismo che opera passo per passo sui caratteri

espressione e automa: esempio

[ab]c*(abc|dd)
un carattere fra a e b, un numero qualsiasi di c, poi abc oppure dd
automa:
0 -a->  1  -a-> 2 -b-> 3 -c-> ((4))
  -b-> (c) -d-> 5 -d-------->

spiegazione…


espressione e automa

[ab]c*(abc|dd)

0 -a->  1  -a-> 2 -b-> 3 -c-> ((4))
  -b-> (c) -d-> 5 -d-------->

cerchietti = stati in cui può trovarsi l'automa


riconoscimento

se alla fine della stringa ci si trova in uno stato con doppio cerchio la stringa è accettata

automi = espressioni regolari

(automa accetta se e solo se espressione collima)


definizione (quasi) formale

automa:

funzionamento…


funzionamento degli automi

accettazione/rifiuto:


funzionamento: esempio

automa di prima

stringa 'accabc'

[]

fine stringa → stato finale

stringa accettata


esempio con stringa sbagliata

stringa 'aacb'

[]

no uscita da stato → stringa rifiutata


esempio con stringa troppo corta

stringa 'bcab'

[]

ultimo stato non doppio → stringa rifiutata


stringhe rifiutate

due possibili motivi:

  1. si arriva a uno stato che non ha archi uscenti etichettati con il prossimo carattere
  2. si termina su uno stato non finale

esempio

   0  --ae-> [1]
(bcd) <-bcd- (ae)

accetta le stringhe che:

uguale all'espressione regolare ^[abcde]*[ae]$

arco con più lettere: seguire per una qualsiasi di queste

cappi = archi che portano allo stesso stato


progettazione degli automi


stati finali

   0  --ae-> [1]
(bcd) <-bcd- (ae)

non vuol dire che non si può andare oltre

qui: da 1 (finale) si va in 0

stato finale = se si finisce lì la stringa è accettata


automi: note


macchinetta del caffè

ingresso: monete da 5 e 10 centesimi

eroga con almeno 15 centesimi
non accetta monete successive
niente resto

omesso: ricomincia dall'inizio dopo l'erogazione

+------------+       +--------+       +-----------+
| rilevatore |  -->  | automa |  -->  | erogatore |
|   monete   |       +--------+       |   caffe'  |
+------------+                        +-----------+

automa

          -----10c----->
0 -5c-> 1 -5c-> 2 -5c--> (3)
  -----10c---->   -10c->

stati: indicano i centesimi inseriti

stati finali: abbastanza centesimi per il caffè

nessuno stato successivo a quelli finali:
non accetta successive monete quando bastano

niente resto
più avanti: automa con resto


stato = memoria

esempio:

automa che accetta le stringhe che hanno il terzo carattere uguale al primo

serve "memorizzare" il primo carattere

stato-memoria = stati diversi a seconda del primo carattere


terzo carattere uguale al primo

realizzare l'automa che accetta quasiasi stringa in cui il primo carattere è uguale al terzo

caratteri a, b, c


terzo uguale al primo: soluzione

0 -a-> 1 -*-> 2 -a-> [3] ()*
  -b-> 4 -*-> 5 -b-> [6] ()*
  -c-> 7 -*-> 8 -c-> [9) ()*

* = qualsiasi carattere

in questo caso: uguale ad a,b,c

primo carattere a → stato 1
da qui: 2 per forza
se arriva a: stato finale

ma: a in 5 o 8 → rifiuto

cicli su stati finali: va bene qualsiasi cosa arrivi dopo


esercizio

caratteri 0 e 1

accetta sequenza se: valore numerico > 4

es: accetta 101 e 1000
rifiuta 100, rifiuta 11


maggiore di quattro: soluzione

                      (01)
 0 -1-> 1 -1-> 2 -01-> (3)
(0)       -0-> 4 -1-> (5) (01) 
                 -0-> 6 -01-> 7
		             (01)

spiegazione?


spiegazione

                      (01)
 0 -1-> 1 -1-> 2 -01-> (3)
(0)       -0-> 4 -1-> (5) (01) 
                 -0-> 6 -01-> 7
		             (01)

zeri iniziali non cambiano il valore: cappio

diramazione ad albero

stringa che rappresenta valore >4: accetta

caratteri successivi: il valore aumenta
(sempre stato finale)


sequenze ordinate

stringhe di lettere {a,b,c,d}

accettare solo stringhe con lettere in ordine

accetta per esempio aaaaa, accetta bbbcccc e abcd e aaaddd

non accetta aaaba e nemmeno abcda


sequenze ordinate: soluzione

          +-----d------------+
+-----d--------------------+ |
| +---c------------+       | |
| |       |        V       V V
(0) -b-> (1) -c-> (2) -d-> (3)
(a)      (b)      (c)      (d)

ottenuto come?


progettazione automi: metodo

stato = condizione sulla sequenza arrivata finora

          +-----d------------+
+-----d--------------------+ |
| +---c------------+       | |
| |       |        V       V V
(0) -b-> (1) -c-> (2) -d-> (3)
(a)      (b)      (c)      (d)

in questo caso:

stato 0 = lettere arrivate finora in ordine, ultima a
stato 1 = lettere arrivate finora in ordine, ultima b
stato 2 = lettere arrivate finora in ordine, ultima c
stato 3 = lettere arrivate finora in ordine, ultima d

dice dove andare


progettazione: stato successivo

stato 2 = lettere arrivate finora in ordine, ultima c

prossimo stato:

deriva dalla definizione di stato…


stato attuale e successivo

es: stato 2, arriva d:

quindi: prossimo stato 3


progettazione degli automi: principio

assumendo una certa condizione vera (es. lo stato indica l'ultimo carattere di una sequenza in ordine), si fa in modo tale che all'arrivo del successivo carattere la condizione sia ancora vera

per induzione, la condizione è sempre vera

in generale: condizione = definizione dello stato


progettazione degli automi: in pratica


sintesi con porte logiche


sintesi: modifica automa

non possono mancare archi uscenti

si introduce un singolo stato non finale p

se da s manca l'arco con c, se ne mette uno che va in p

p ha un cappio per tutti i caratteri


modifica automa: esempio

          +-----d------------+
+-----d--------------------+ |
| +---c------------+       | |
| |       |        V       V V
(0) -b-> (1) -c-> (2) -d-> (3)
(a)      (b)      (c)      (d)

nuovo stato 4

qui vanno gli archi mancanti:


automa modificato

          +-----d------------+
+-----d--------------------+ |
| +---c------------+       | |
| |       |        V       V V
(0) -b-> (1) -c-> (2) -d-> (3)
(a)      (b)      (c)      (d)
          |        |        |
          a       a,b      a,b,c
          |        |        |
          |        |        V
          |        +-----> 4 (a,b,c)
          |                 ^
          +-----------------+

funzione di stato successivo

dati: stato e carattere

calcola: stato successivo

sempre definita (automa modificato)

tabella: una riga per ogni stato e carattere

statocaratteresuccessivo
   
   
   

tabella stato successivo

          +-----d------------+
+-----d--------------------+ |
| +---c------------+       | |
| |       |        V       V V
(0) -b-> (1) -c-> (2) -d-> (3)
(a)      (b)      (c)      (d)
          |        |        |
          a       a,b      a,b,c
          |        |        |
          |        |        V
          |        +-----> 4 (a,b,c)
          |                 ^
          +-----------------+

es: da 1 con ingresso d si va in 3

riga:

statocaratteresuccessivo
1d3

tabella complessiva

una riga per ogni stato e ogni carattere

statocaratteresuccessivo
0a0
0b1
0c2
0d3
1a4
1b1
1c2
          +-----d------------+
+-----d--------------------+ |
| +---c------------+       | |
| |       |        V       V V
(0) -b-> (1) -c-> (2) -d-> (3)
(a)      (b)      (c)      (d)
          |        |        |
          a       a,b      a,b,c
          |        |        |
          |        |        V
          |        +-----> 4 (a,b,c)
          |                 ^
          +-----------------+

da 0 con a si va in 0
da 0 con b si va in 1
ecc.


codifica in binario

stati 0,1,2,3,4

servono tre bit

caratteri a,b,c,d

bastano due bit:


tabella, in binario

0,1,2,3,4 e a,b,c,d si mettono in binario

stcarsucc
0a0
0b1
0c2
0d3
1a4
1b1
1c2
  →  
stcarsucc
00000000
00001001
00010010
00011011
00100100
00101001
00110010

sintesi

stcarsucc
00000000
00001001
00010010
00011011
00100100
00101001
00110010

ogni bit di succ si sintetizza con un circuito

es: si tiene solo il primo bit


sintesi

stcarsucc
00000000
00001001
00010010
00011011
00100100
00101001
00110010
  →  
stcarsucc
000000
000010
000100
000110
001001
001010
001100

sintesi primo bit: si tolgono il secondo e il terzo da succ

sintesi primo bit: si tolgono il secondo e il terzo da succ

resta una tabella con una uscita

solito sistema:


stati finali

accetta=1, rifiuta=0

stfinale
0001
0011
0101
0111
1000

per ogni stato, dice se è finale

sintesi: righe 1, ecc.


circuito complessivo

         +----+
in ------+ SS |
     +---+    +---+
     |   +----+   |
     |            |
     +---------------+
                  |  |
   +--------------+  |
   |                 |
   |    +-----+      |     +-----+
   +----+ MEM +------+-----+ ACC +----- out
        +-----+            +-----+
SS
i tre circuiti dello stato successivo (visto)
ACC
il circuito che dice se uno stato è finale (visto)
MEM
la memoria di stato

memoria=?


memoria

devo memorizzare tre bit (lo stato)

tre flip-flop

     +----+
-----|    |-----
  +--|>   |
  |  +----+
  |
  |  +----+
-----|    |-----
  +--|>   |
  |  +----+
  |
  |  +----+
-----|    |-----
  +--|>   |
  |  +----+
  |
 clk

clk = clock

dice quando memorizzare lo stato successivo


automi realizzati con programma

versione software

una variabile per lo stato

si guarda un carattere per volta

stato="0"
stringa="acccdd"

for input in stringa:
			# stato 0
  if stato == '0':
    if input == 'a':
      stato='0'
    elif input == 'b':
      stato='1'
  …

if stato!='4':
  print 'stringa accettata'
else:
  print 'stringa rifiutata'

programma complessivo

stato="0"
stringa="acccdd"

for input in stringa:
  print 'stato: ' + stato 
  print 'in: ' + input
			# stato 0
  if stato == '0':
    if input == 'a':
      stato='0'
    elif input == 'b':
      stato='1'
    elif input == 'c':
      stato='2'
    elif input == 'd':
      stato='3'
			# stato 1
  if stato == '1':
    if input == 'a':
      stato='4'
    elif input == 'b':
      stato='1'
    elif input == 'c':
      stato='2'
    elif input == 'd':
      stato='3'
			# stato 2
  if stato == '2':
    if input == 'a':
      stato='4'
    elif input == 'b':
      stato='4'
    elif input == 'c':
      stato='2'
    elif input == 'd':
      stato='3'
			# stato 3
  if stato == '3':
    if input == 'a':
      stato='4'
    elif input == 'b':
      stato='4'
    elif input == 'c':
      stato='4'
    elif input == 'd':
      stato='3'
			# stato 4
  if stato == '4':
    if input == 'a':
      stato='4'
    elif input == 'b':
      stato='4'
    elif input == 'c':
      stato='4'
    elif input == 'd':
      stato='4'

  print "nuovo stato: "+stato
  print '----'

if stato!='4':
  print 'stringa accettata'
else:
  print 'stringa rifiutata'

programma, versione con dizionario

stato="0"
stringa="acccdd"

for input in stringa:
  print 'stato: ' + stato 
  print 'in: ' + input
  stato={
	# stato 0
    '0a': '0',
    '0b': '1',
    '0c': '2',
    '0d': '3',
	# stato 1
    '1a': '4',
    '1b': '1',
    '1c': '2',
    '1d': '3',
	# stato 2
    '2a': '4',
    '2b': '4',
    '2c': '2',
    '2d': '3',
	# stato 3
    '3a': '4',
    '3b': '4',
    '3c': '4',
    '3d': '3',
	# stato 4
    '4a': '4',
    '4b': '4',
    '4c': '4',
    '4d': '4'
  }[stato+input]
  print "nuovo stato: "+stato
  print '----'

if stato!='4':
  print 'stringa accettata'
else:
  print 'stringa rifiutata'


definizione formale di automa

in termini matematici

serve per dimostrazioni, ecc.

poi: stato iniziale, stati successivi, stati finali


insiemi

I
insieme degli ingressi
S
insieme degli stati

esempi:


stati iniziale e finali

insieme di tutti gli stati: S

stato iniziale:

s0 è un elemento di S

stati finali (doppio cerchio):

A è un sottoinsieme di S

dal punto di vista matematico:
s∈S e A⊆S


stati: esempi

caratteri in ordine:
S={0,1,2,3}
s0=0
tutti stati finali: A={0,1,2,3}
 
          +-----d------------+
+-----d--------------------+ |
| +---c------------+       | |
| |       |        V       V V
(0) -b-> (1) -c-> (2) -d-> (3)
(a)      (b)      (c)      (d)
valore > quattro:
S={0,1,2,3,4,5,6,7}
s0=0
stati finali: A={3,5,7}
 
                      (01)
 0 -1-> 1 -1-> 2 -01-> (3)
(0)       -0-> 4 -1-> (5) (01) 
                 -0-> 6 -01-> 7
		             (01)

stato iniziale = quello da cui si parte

stati finali = quelli con il doppio cerchio


stato successivo

da stato s e ingresso i si passa a un nuovo stato

è una funzione matematica:

N : S × I → S

permette di calcolare lo stato successivo

N(s,i)=s' vuol dire:
se in s arriva i, si va in s'


stato successivo: esempio

          +-----d------------+
+-----d--------------------+ |
| +---c------------+       | |
| |       |        V       V V
(0) -b-> (1) -c-> (2) -d-> (3)
(a)      (b)      (c)      (d)

da 0 con c si va in 2

quindi: N(0,c)=2

e poi:

N(2,d)=3
N(0,a)=0
N(3,a) indefinito
ecc.

funzione e tabella

N : S × I → S
dati s e i fornisce lo stato successivo N(s,i)

anche la tabella:

statocaratteresuccessivo
0a0
0b1
0c2
0d3
1a4
1b1
1c2

si guarda la riga con s e i
la terza casella della riga è lo stato successivo

sono di fatto la stessa cosa


automa: definizione completa

un automa è una quintupla ⟨I, S, s0, N, A⟩

I
un insieme, detto insieme degli ingressi
S
un insieme, detto insieme degli stati
s0
un elemento di S, detto stato iniziale
A
un sottoinsieme di S, detto insieme degli stati finali
N
una funzione S×I→S, detta funzione di stato successivo

definizioni in termini di insiemi

già quasi tutto definito in termini di:

tranne: funzione di stato successivo


funzione N, definita come insieme

prodotto cartesiano:

S×I×S = insieme di triple ⟨s,i,s'⟩ con s∈S, i∈I e s'∈S

funzione (parzialmente definita):

N:S×I→S = sottoinsieme di S×I×S
tale che due terne non hanno gli stessi primi due elementi

intuitivamente: ⟨s,i,s'⟩ se N(s,i)=s'

serve dopo, per definire gli automi non deterministici


stato dopo una stringa

stringa c1c2 … cn-1cn

porta allo stato:

N(N(N( … N(N(s0,c1),c2) … ),cn-1),cn)

complicato?


stati intermedi

carattere ci → applicare N(…,ci)

N(N(N( … N(N(s0,c1),c2) … ),cn-1),cn)

accettazione

N(N(N( … N(N(s0,c1),c2) … ),cn-1),cn)

se questo è uno stato finale, la stringa c1c2 … cn-1cn è accettata

altrimenti è rifiutata

c1c2 … cn-1cn accettata se e solo se N(N(N( … N(N(s0,c1),c2) … ),cn-1),cn) ∈ A

vincolo sulla funzione

N non contiene due triple ⟨s,i,s'⟩ con gli stessi s e i

⟨s,i,s'⟩ ∈ N vuol dire:
da stato s con ingresso i si va a stato s'

no due triple con stessi s e i → stato successivo unico

più triple con stessi s e i → più stati successivi


automi non deterministici

deterministici
s, is'
non deterministici
s, is', s'', …
stando in uno stato, arriva un carattere: si può andare in più stati successivi

cioè, 'nche senso?


sistemi teorici e reali

reali
dato uno stato, arriva un input: si va in un altro stato
teorici
volendo, si può immaginare di andare in più stati diversi

sempre con un singolo carattere di input


automa non deterministico: esempio

      (a) -ad-> 2
 -ac-> 1 -ac-> 3
0*       \-d->
 -ab-> 4 -d-> 5
         -d-> (6)

si inizia in 0

arriva a

si può andare in 1 oppure in 4

dove vado?


non determinismo: dove vado?

      (a) -ad-> 2
 -Ac-> 1 -ac-> 3
0*       \-d->
 -Ab-> 4 -d-> 5
         -d-> (6)

da 0 con a: vado in 1 o in 4?

si fanno entrambe le scelte

si finisce in 1 e in 4 insieme


due stati insieme

      (a) -ad-> 2
 -ac->*1 -ac-> 3
0        \d->
 -ab->*4 -d-> 5
         -d-> (6)

vado in 1 e anche in 4

ora arriva d


da due stati, dove vado?

      (a) -aD-> 2
 -ac->*1 -ac-> 3
0        \D->
 -ab->*4 -D-> 5
         -D-> (6)

sono in 1 e 4

con d posso andare:

  • da 1 in 2 e 5
  • da 4 in 5 e 6

vado in tutti questi


stati dopo due caratteri

      (a) -aD-> 2
 -ac->*1 -ac-> 3
0        \D->
 -ab->*4 -D-> 5
         -D-> (6)

arrivo in 2, 5 e 6

uno di questi è finale → stringa accettata

Non pensate a un automa non deterministico come a un sistema reale che si trova in più stati insieme, perché niente del genere può esistere. Pensatelo come a un disegno con cerchietti e freccie in cui alcuni cerchietti sono marcati di nero: su un disegno si possono marcare anche due o tre cerchietti insieme. Il disegno non è un modo di vedere gli automi, è quello che sono: non esiste un meccanismo reale non deterministico, si tratta sempre e comunque di una formalizzazione teorica, un disegno di freccie e cerchietti su cui se ne possono marcare alcuni.

ramificazioni, riassunto

      (a) -ad-> 2
 -ac-> 1 -ac-> 3
0        \d->
 -ab-> 4 -c-> 5
         -d-> (6)

(animazione)

esempio: stringa ad

  • da 0, con a: si va in 1 o in 4
  • arriva d:
    • da 1 si va in 2 o in 5
    • da 4 si va in 5 o in 6
vanno considerate tutte le possibilità

si arriva in 2, 5 e 6
6 finale → stringa ad accettata


quindi: cosa scelgo?

      (a) -ad-> 2
 -ac-> 1 -ac-> 3
0        \d->
 -ab-> 4 -c-> 5
         -d-> (6)

non scelgo niente: sono sistemi teorici

si considerano tutte le possibilità

con ad si arriva in 2, 5 o 6

6 finale → stringa accettata


percorsi possibili

      (a) -ad-> 2
 -ac-> 1 -ac-> 3
0        \d->
 -ab-> 4 -d-> 5
         -d-> (6)

si parte dallo stato iniziale

le frecce indicano gli spostamenti ammessi

la prima a permette di raggiungere 1 o 4
(nota: non permette di restare in 0)

c'è un percorso per uno stato finale → stringa accettata


scelte obbligate o inesistenti

      (a) -ad-> 2
 -ac-> 1 -ac-> 3
0        \d->
 -ab-> 4 -d-> 5
         -d-> (6)

cc porta solo in 3

bc non porta da nessuna parte

in un automa non deterministico possono esserci anche scelte obbligate o inesistenti

non solo scelte multiple


accettazione

una stringa porta a più stati

uno di questi finale → stringa accettata


definizione formale

automa: uguale, togliendo il vincolo

quintupla ⟨ I, S, s0, N, A ⟩

tutto uguale, ma N non ha il vincolo sulle terne
è N⊆S×I×S


stato di arrivo

stato attuale s → insieme di stati attuali SA

successivo(SA, i) = {s' | ⟨s,i,s'⟩∈N e s∈SA}

stato di una stringa

si applica successivo una volta per ogni carattere

stringa c1c2…cn-1cn:

successivo( successivo( … successivo( successivo({s0}, c1), c2), … cn-1), cn)

è un insieme di stati

uno di questi stati in A → stringa accettata


vantaggi del non determinismo

si applica a varie cose, oltre agli automi

in generale:

non determinismo = varie scelte possibili a ogni passo

esempio: il problema dei 150 cavalieri


scelte e soluzioni

forma generale di molti problemi:

  • scegliere dei valori
  • verificare se soddisfano una condizione

non determinismo: formalizza la scelta


il problema dei 150 cavalieri

in questo caso:

  • scegliere le posizione per ogni cavaliere
  • verificare che non ci siano rivali vicini
    che non ci siano due cavalieri allo stesso posto
    che ogni cavaliere abbia un posto

soluzione non deterministica

  • scegli posizione cavaliere 0
  • scegli posizione cavaliere 1
  • scegli posizione cavaliere 149
  • verifica posizioni e rivalità
se esiste una sequenza di scelte che porta a una soluzione, allora esiste una disposizione accettabile

programma

su un ipotetico "computer non deterministico"
(che non esiste)

for cavaliere in range(0, 150):
  posizione[cavaliere]=scelta(0, 1, ... , 149)

for c in range(0, 150):
  for d in range(0, 150):
    if rivali[c,d]:
      if posizione[c]==(posizione[d]+1)%150:
        return false;
return true;

come funziona?


scelta e verifica

scelta delle posizioni:

for cavaliere in range(0, 149):
  posizione[cavaliere]=scelta(0, 1, ... , 149)

verifica:

for c in range(0, 149):
  for d in range(0, 149):
    …

risultato?

scelte arbitrarie delle posizioni

esiste una sequenza di scelte che porta a una soluzione

la soluzione esiste

come per gli automi:
esiste percorso per stato finale ⇒ stringa accettata


in pratica

i sistemi non deterministici non esistono nella realtà

si simulano con sistemi deterministici

vantaggio del non determinismo:

il nondeterminismo permette di codificare alcuni problemi complessi in modo semplice

li codifica, non li risolve


nondeterminismo: riassunto

  • il non determinismo è un meccanismo teorico che permette di esprimere diversi problemi in modo facile,
    ma
  • gli elaboratori reali sono deterministici, per cui i sistemi non deterministici vanno convertiti in deterministici in qualche modo.

espressioni regolari e automi

applicazione degli automi non deterministici

nel verificare una stringa, si possono presentare scelte

nota:

si sta parlando del modo che usano i programmi per vedere se una stringa collima con un'espressione regolare

es: come l'interprete Python esegue re.match() e re.finditer()


espressioni regolari con scelte

  • espressione regolare r.*doc
    = r seguita da caratteri qualsiasi e poi doc
  • stringa ridotto.doc

la stringa contiene due d: ridotto.doc

la prima d è parte di .*

la seconda è l'inizio di doc

ridotto.doc
↑-------↑↑↑
r  .*   doc

esecuzione

leggo i caratteri uno per volta:

  • primo carattere rr.*doc
  • carattere ir.*doc
  • carattere dr.*doc
    ma anche r.*doc
  • carattere o: stessa cosa
  • carattere t: solo ora so che siamo ancora in .*

scelte

ridotto.doc e r.*doc

solo con rid, due possibilità:

  • r=r
    id inizio di .*
    oppure
  • r=r
    i=.*
    d=inizio di doc

nemmeno con la o riesco a scegliere


riconoscimento in Python

si sceglie una delle due possibilità
ma ci si ricorda dell'altra

se va male, si prova l'altra

algoritmo semplicistico


algoritmo astuto

si pone una scelta:

  • d è parte di .*
  • .*=i e d è la prima lettera di doc

si verifica se almeno una scelta porta al successo

in questo caso: la seconda scelta


espressione → automa

0 -r-> 1  -d-> 2 -o-> 3 -c-> (4)
      (*)

esistono scelte: automa non deterministico

in 1 con carattere d:

  • si resta in 1
  • si va in 2

stesso stato e carattere, ma due successori:
automa non deterministico


conversione automatica

0 -r-> 1  -d-> 2 -o-> 3 -c-> (4)
      (*)

conversione manuale

esiste metodo per farlo automaticamente

in questo caso produce:

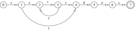
0 -r-> 1 -e-> 2 -.-> 3 -e-> 3 -d-> 4 -o-> 5 -c-> (6)
       |      ^      |      ^
       |      +---e--+      |
       +------e-------------+

archi ε = ci si può spostare senza caratteri


archi ε

0 -r-> 1 -e-> 2 -*-> 3 -e-> 3 -d-> 4 -o-> 5 -c-> (6)
       |      ^      |      ^
       |      +---e--+      |
       +------e-------------+

quando si arriva in 1

prima che arrivi il prossimo carattere:

  • si può restare in 1
  • oppure andare subito in 2

è una scelta non deterministica


due scelte

non deterministiche:

  • stato con due archi con lo stesso carattere
    si può seguire l'uno o l'altro
  • stato con arco ε
    quando si arriva allo stato ci si può restare
    ma anche seguire subito l'arco

anche entrambe le scelte in uno stato
arco ε e archi uscenti con carattere


espressione → automa

modo automatico:

  • si parte dalle sottoespressioni più semplici
  • le si compone via via…
  • fino a ottenere l'automa della formula intera

esempio…


esempio

((bd|c)a?)+

vogliamo l'automa

partiamo da quello che riconosce b da solo:

0 -b-> (1)

uno simile per a, per c e per d

poi: si compongono…


composizione: concatenazione

fatti: automi per b e per d

automa per bd:

0 -b-> 1 -e-> 2 -d-> (3)

volendo: eliminare arco ε
fondere i due stati in mezzo


composizione: alternativa

abbiamo l'automa per bd
e quello per c

automa per bd|c:

  -e-> 1 -b-> 2 -d-> 3 -e->
0                           (6)
  -e-> 4 -c--------> 5 -e->

sono i due messi in parallelo
collegati con archi ε


composizione: opzionalità

l'automa di a è come quello di b:

0 -a-> (1)

a? è a opzionale:

0 -a-> (1)
  -e->

arco ε da iniziale a finale


a questo punto

automi di bd|c e di a? noti

si concatenano e si ottiene quello di (bd|c)a?

ora: ripetizione non nulla di tutto
sarebbe il +


ripetizione non nulla

dato: automa di (bd|c)a?

automa di ((bd|c)a?)+:

         -e-> 2 -b-> 3 -d-> 4 -e->
0 -e-> 1                           7 -e-> 8 -a-> 9 -e-> (10)
         -e-> 5 -c--------> 6 -e->
       ^                                         |
       +---------------------e-------------------+

questo è l'automa di tutta l'espressione


perché i due stati aggiuntivi?

         -e-> 2 -b-> 3 -e-> 4 -d-> 5 -e->
0 -e-> 1                                  8 -e-> 9 -a-> 10 -e-> (11)
         -e-> 6 -c---------------> 7 -e->
       ^                                                |
       +---------------------e--------------------------+

perchè gli stati 0 e 11?

non si poteva iniziare con 1 e finire con 10?

per le ripetizioni non nulle servono i due stati aggiuntivi
altrimenti, l'automa di (a+b+)? accetterebbe aaa:


ripetizione generale

A* è uguale a (A+)?

automi di + e ?: visti sopra


espressione → automa non deterministico

si procede sempre nello stesso modo:

  • si parte dagli automi dei singoli caratteri
  • si compongono nel modo visto

si ottiene un automa non deterministico

ora: convertirlo in deterministico


conversione da non deterministico a deterministico

vale in generale

in particolare, anche per:

espressione regolare → automa non deterministico → deterministico

differenza deterministico e non

deterministico
in ogni momento, un solo stato
non deterministico
in ogni momento, anche più stati possibili

esempio…


stati di un automa non deterministico

0 -r-> 1  -d-> 2 -o-> 3 -c-> (4)
      (*)

dopo d è in 1 e 2

più stati insieme nello stesso momento

anche dopo


insiemi di stati possibili

0 -r-> 1  -d-> 2 -o-> 3 -c-> (4)
      (*)
  • si inizia in 0
  • r porta in 1
  • i mantiene in 1
  • d porta in 1 o in 2
    stati {1,2}
  • o porta 1→1 e 2→3
    stati {1,3}

principio della conversione

deterministico: in ogni momento un solo stato

non deterministico: più stati in ogni momento
(dato che ci sono le scelte)

idea: insieme_stati → stato


insieme di stati: regola

l'automa non deterministico si trova in ogni momento in un insieme di stati

per ogni insieme di stati, si crea uno stato nell'automa deterministico

stati

più precisamente:

se successore può portare a un insieme di stati S, allora l'automa deterministico deve avere uno stato per S

frecce?


le frecce dell'automa deterministico

esempio:

  • se lo stato è {1, 2}
  • se in 1 il carattere a porta a 4;
  • se in 2 il carattere a porta a 5, 8, 9;
  • allora a porta da {1,2} a {4, 5, 8, 9}.

simulazione

ogni stato dell'automa deterministico simula un insieme di stati dell'automa non deterministico

le frecce sono di conseguenza


stati finali

esiste un percorso verso uno stato finale

stringa accettata

quindi

gli stati finali dell'automa deterministico sono quelli che corrispondono a insiemi che contengono almeno uno stato finale dell'automa non deterministico

basta un solo stato finale a rendere finale l'intero insieme


tornando all'esempio

0 -r-> 1  -d-> 2 -o-> 3 -c-> (4)
      (*)

in quali insiemi di stati può trovarsi?


insiemi di stati

0 -r-> 1  -d-> 2 -o-> 3 -c-> (4)
      (*)

da {0} solo in {1}

ma da 1 in 1 o in 2

quindi: stato {1,2}

ancora…


insiemi di stati

0 -r-> 1  -d-> 2 -o-> 3 -c-> (4)
      (*)

da {1,2} dove si va?

  • con d: 1→1, 1→2, 2→niente
    insieme {1,2}
  • con o: 1→1, 2→3
    insieme {1,3}
  • altro: 1→1, 2→niente
    insieme {1}

serve lo stato {1,3}


da stato {1,3}

0 -r-> 1  -d-> 2 -o-> 3 -c-> (4)
      (*)

stessa cosa: c porta a {1,4}

d porta in {1,2}

tutti gli altri in 1


stato {1,4}

0 -r-> 1  -d-> 2 -o-> 3 -c-> (4)
      (*)

d porta in 1 e in 2

tutti gli altri in 1


automa complessivo

           +---------------- -d ------------+
           |          +--------d----------+ |
      (-d) V      (d) V                   | |
{0} -r-> {1} -d-> {1,2} -o-> {1,3} -c-> ({1,4})
         ^ ^   -d-o|    <-d-   |-c
	 | +-------+           |-d
         +---------------------+

-d = qualsiasi carattere tranne d


automa in funzione

           +---------------- -d ------------+
           |          +--------d----------+ |
      (-d) V      (d) V                   | |
{0} -r-> {1} -d-> {1,2} -o-> {1,3} -c-> ({1,4})
         ^ ^   -d-o|    <-d-   |-c
	 | +-------+           |-d
         +---------------------+

stringa ridotto.doc

  • rido{1,3}
  • t{1}
  • to.{1}
  • doc{1,4}

stringa accettata


automa in funzione, sul disegno

[]

automi con output

quelli visti finora finivano con:

  • stringa accettata
  • stringa rifiutata

ma si possono mettere anche più uscite


schema realizzativo

per automi accetta/rifiuta:

         +----+
in ------+ SS |
     +---+    +---+
     |   +----+   |
     |            |
     +---------------+
                  |  |
   +--------------+  |
   |                 |
   |    +-----+      |     +-----+
   +----+ MEM +------+-----+ ACC +----- out
        +-----+            +-----+

uscita funzione dello stato

due reti ACC → due uscite


automi con uscite

sul disegno:

stato → stato/uscita

in ogni stato si mette la sua uscita


stato con uscita: esempio

  +-a-> 1/n -b-> 2/n -c-> 3/p
  |
0/n             - qualsiasi_altro -> 7/n (*)
  |
  +-x-> 4/n -y-> 5/n -z-> 6/s

riconosce abc e xyz

  • abc → uscita p
  • xyz → uscita s
  • nessuna delle due: uscita n

non serve più mettere uno stato accettante


realizzazione dell'automa

come nel caso normale

anche l'uscita va codificata in binario:
es: n=00, p=01, s=10

tabella stato → uscita
(stato: tre bit; uscita: due bit)

si trasforma in due circuiti con il sistema solito


macchinetta del caffè con resto

uscite possibili:

  • non abbastanza monete, niente caffè
  • monete esatte, caffè
  • monete in accesso, caffè + resto

macchinetta del caffè: automa

uscite: 0, caffè, resto

      ------10c----->     ------10c-----> 4/r
  0/0 -5c-> 1/0 -5c-> 2/0 -5c-> 3/c
               -----10c----->

manca: ricomincia dall'inizio dopo l'erogazione


sintesi automa del caffè

ingressi: 5c=0, 10c=1

stati: 000, …, 100

uscite: 0=00, c=01, r=10

tabella stato successivo:

stato ingresso successivo
000 0 001
000 1 010
001 0 010

uscite: 011→01, 100→10, altri 00