Compito esame ragionamento automatico
Secondo appello 2007

Domanda 1

Testo

Eseguire l'algoritmo di Davis-Putnam (DPLL) sul seguente insieme, e dire se è o meno soddisfacibile. Mostrare l'albero di ricerca, evidenziando in ogni nodo i letterali che si ottengono per propagazione unitaria e uso dei letterali puri.

{
a ∨ b,
a ∨ ¬ c,
a ∨ ¬ b ∨ c,
¬ c ∨ ¬ d ∨ e,
d ∨ e,
¬ a ∨ b ∨ ¬ c,
¬ a ∨ ¬ b ∨ ¬ e,
d ∨ ¬ e ∨ ¬ b,
¬ a ∨ b ∨ c,
¬ a ∨ c ∨ e
}

Soluzione

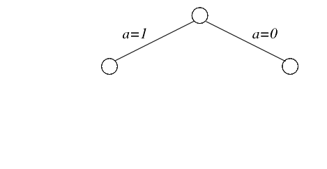
La prima propagazione viene fatta su a dal momento che questa variable appare più spesso in clausole binarie. Il valore a=1 viene provato per primo dal momento che si a trova più frequentemente positiva in clausole binarie.

Con a=1 le clausole vengono semplificate come segue:

{ a ∨ b, a ∨ ¬ c, a ∨ ¬ b ∨ c, ¬ c ∨ ¬ d ∨ e, d ∨ e, ¬ a ∨ b ∨ ¬ c, ¬ a ∨ ¬ b ∨ ¬ e, d ∨ ¬ e ∨ ¬ b, ¬ a ∨ b ∨ c, ¬ a ∨ c ∨ e } =
{ ¬ c ∨ ¬ d ∨ e, d ∨ e, b ∨ ¬ c, ¬ b ∨ ¬ e, d ∨ ¬ e ∨ ¬ b, b ∨ c, c ∨ e }

Come letterale si può ora scegliere b, c oppure e. Si è in questo caso scelto c (scegliere b oppure e sarebbe stato comunque corretto). La propagazione unitaria di c=1 produce i seguenti effetti.

{ ¬ c ∨ ¬ d ∨ e, d ∨ e, b ∨ ¬ c, ¬ b ∨ ¬ e, d ∨ ¬ e ∨ ¬ b, b ∨ c, c ∨ e } =
{ ¬ d ∨ e, d ∨ e, b, ¬ b ∨ ¬ e, d ∨ ¬ e ∨ ¬ b }

La propagazione di b genera ¬ e, che genera sia d che ¬ d.

Si tenta ora c=0. La propagazione unitaria procede come segue:

{ ¬ c ∨ ¬ d ∨ e, d ∨ e, b ∨ ¬ c, ¬ b ∨ ¬ e, d ∨ ¬ e ∨ ¬ b, b ∨ c, c ∨ e } =
{ d ∨ e, ¬ b ∨ ¬ e, d ∨ ¬ e ∨ ¬ b, b, e }

La propagazione unitaria di b ed e produce una inconsistenza a causa della presenza della clausola ¬ b ∨ ¬ e

Si prova ora con a=0.

{ a ∨ b, a ∨ ¬ c, a ∨ ¬ b ∨ c, ¬ c ∨ ¬ d ∨ e, d ∨ e, ¬ a ∨ b ∨ ¬ c, ¬ a ∨ ¬ b ∨ ¬ e, d ∨ ¬ e ∨ ¬ b, ¬ a ∨ b ∨ c, ¬ a ∨ c ∨ e } =
{ b, ¬ c, ∨ ¬ b ∨ c, ¬ c ∨ ¬ d ∨ e, d ∨ e, d ∨ ¬ e ∨ ¬ b, }

La propagazione unitaria di b e ¬ c produce una inconsistenza a causa della clausola ∨ ¬ b ∨ c

Domanda 2

Testo

Dimostrare la seguente implicazione usando il metodo della deduzione naturale.

∀ x (¬ P(x) ∨ ¬ Q(x)), ∃ x P(x) ⇒ ¬ ∀ x Q(x)

Suggerimento: assumere il negato della conclusione e cercare di dimostrare ⊥. Possono essere utili le regole di eliminazione di ∃ e ∀ e il modus ponens (da A e A→B si deriva B). Nella deduzione naturale non si usa invece la Skolemizzazione.

Soluzione

1 ∀ x (Q(x) → ¬ P(x)) premessa
2 ∃ x P(x) premessa
3 Q(y) → ¬ P(y) da 1 per eliminazione ∀
3 ∀ x Q(x) assunzione
4 Q(y) da 3 per eliminazione ∀
5 ¬ P(y) da 3 e 4 per modus ponens
6
P(y)
assunzione
7
da 5 e 6
8 da 2 e box 6/7, eliminazione ∃
9 ¬ ∀ x Q(x) da box 3/8, riduzione ad assurdo

Domanda 3

Testo

Dire se il seguente problema è arc-consistente e se è path-consistente. Nel caso di non-consistenza, dire come va modificato per farlo diventare sia arc-consistente che path-consistente.

variabili
{x, y, z}
domini
vincoli
xy
00
10
11
xz
00
11
12
yz
02
10
11

Soluzione

I vincoli si possono rappresentare graficamente come segue:

questo problema è arc-consistente, dal momento che ogni valore ha un corrispondente nel dominio di ogni altra variabile. Il problema non è però path-consistente, come evidenziato dalle coppie qui sotto.

La loro eliminazione produce il seguente problema. Da notare che vengono eliminati solo gli archi, e non i valori dai domini.

Questo problema non è più arc-consistente: infatti i valori x=0 e z=0 non hanno valori corrispondenti nei domini delle altre variabili, e vanno quindi eliminati. Il risultato finale è il seguente.