Natural deduction
deduction method: from A infer B
not a refutation method like DPLL and tableau
Components
- inference rules
- assumptions
second point explained later
Some inference rules
some of the rules (not all):
name of rules in parenthesis
An example (without assumptions)
prove that
x∧y ⊧ y∧(x∨z)
method:
start with x∧y
use the rules to obtain y∧(x∨z)
Example (1)
start from the premise
Example (2)
rule used:
Example (3)
rule used:
Example (4)
rule:
Example (5)
rule:
Example: completed proof
proves that first formula implies last
in this case:
x∧y ⊧ y∧(x∨z)
Note on the example
- proof is always a line, not a tree
- some rules break formulae (like in the tableau method) but
some others build formulae from subformulae
Natural deduction
(still no assumptions: later)
- rules
- all in the form:
| formula, … , formula |
| formula |
- inference
- to prove A1, … , An ⊧ B
- place preconditions in a line:
- if there is a rule like
| formula, … , formula |
| formula |
and formula, … , formula are all in the line
add formula at the bottom
- if B is obtained, proof is successful
Rules (most of them)
|
|
|
|
|
|
|
|
|
|
|
|
|
| A ¬A |
(¬E) or (⊥I) |
| ⊥ |
|
|
|
|
|
|
|
|
Rules: comments
most of them either Introduce a connective or Eliminates it
rule for entailment introduction (→I) still missing
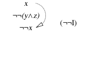
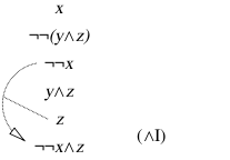
Example
x, ¬¬(y ∧ z) ⊧ ¬¬x ∧ z
Example (1)
Example (2)
Example (3)
Example (4)
Example (5)
Example (6)
completed proof:
x, ¬¬(y ∧ z) ⊧ ¬¬x ∧ z
holds
Example: comments
- start with premises
- add formulae according to rules
rules are valid: only consequences are generated
- works by generating consequences
Example
x→(y→z), x, ¬z ⊧ ¬y
Example (1)
Example (2)
Example (3)
statement proved
Assumptions
main point of natural deduction
idea: like in human reasoning
- assume that some formulae are true
- infer other formulae from assumptions
- these are consequences of assumptions
Assumptions, formally
- assume that some arbitrary formula A is true
- obtain whatever formula B using the rules
- this proves A→B
is a way to obtain A→B
(the missing entailment-introduction rule)
Assumption rule
entailment introduction
meaning:
- assume A
- if B follows…
- … A→B holds
Use of assumptions (1)
at any point, open a box with an arbitrary formula A
Use of assumptions (2)
use A to generate whatever formula (as usual)
Use of assumptions (3)
at any point, close the box
Use of assumptions (4)
entailment first→last results
Use of assumptions (5)
continue as usual
Assumption: which formula?
the assumption A can be an arbitrary formula
how to choose it?
chose a formula A such that A→B could be useful
Example (with assumptions)
¬x→¬y ⊧ y→¬¬x
Example (1)
Example (2)
an arbitrary formula can be assumed
Example (3)
inference from the assumption
(in this case: introduce double negation)
Example (4)
inference can be done using both formulae in the box and outside it
(some caveat later)
Example (5)
closure of boxes can be done at any point
Example (6)
from box to entailment, using (→I)
Example (7)
claim proved:
¬x→¬y ⊧ y→¬¬x
holds
Assumption: semantics
formulae outside the box are consequences of the premise
(¬x→¬y)
formulae in the box are consequences of both the premise
(¬x→¬y)
and the assumption
(y)
Semantics of formulae in a proof
each formula is a consequence of the premises and, if it is in a box, of the
assumption of the box
natural deduction works by keeping this condition true
Condition: consequences
every step keeps the condition true
- premises
- they are consequences of them, so they can be written in the proof
- inferred formulae
- they are consequences of the premises or of other consequences of the
premises
- assumption
- according to the rule, has to be a consequence of the premises and the
assumption
the latter is itself
- formulae in the box
- obtained by inference from the premises and the assumption
- closing the box
- formula A→B is a consequence of the premise
and not of A
(more on next slide)
Closing a box
| P1 |
|
|
premises |
| ⋮ |
| Pn |
| ⋮ |
|
|
|
|
assumption |
according to the condition, E is a consequence of the premises and of
the assumption:
P1∧…∧Pn∧A ⊧ E
therefore:
P1∧…∧Pn ⊧ A→E
A→E is a consequence of the premises
(can be written outside the box)
Valid and invalid steps (1)
correct inference:
- B→C consequence of the premises
- B is a consequence of the premise and the assumption A
- therefore, C is a consequence of the premises and the assumption
A
writing B in the box does not violate the condition
Valid and invalid steps (2)
incorrect inference:
- B∧C consequence of the premises and the assumption
- C is a consequence of B∧C
- therefore, C is a consequence of the premises and the
assumption
- cannot be written outside the box
to maintain the condition:
write outside the box only formulae that are
consequences only of the premises
Violation of condition: example
x→y, y→z ⊧ z
clearly false
could be proved by natural deduction, if condition is violated
Violation of condition: wrong inference
all correct up to this point
use formula in the box to generate formula outside
allows incorrectly infer z from
x→y and y→z
A correct example (1)
x→y, y→z ⊧ x→z
A correct example (2)
A correct example (3)
A correct example (4)
A correct example (5)
A correct example (6)
A correct example (7)
claim
x→y, y→z ⊧ x→z
proved
Another example (1)
x→(y→z) ⊧ (x∧y)→z
Another example (2)
Another example (3)
Another example (4)
Another example (5)
Another example (6)
Another example (7)
Another example (8)
Another example (9)
claim proved:
x→(y→z) ⊧ (x∧y)→z
holds
(note: assumption x∧y chosen for a reason;
more on this later)
Nested boxes
inference inside a box is like outside
follows the same rules
including: open a box, close a box
| P1 |
|
|
premises |
| ⋮ |
| Pn |
| ⋮ |
|
|
| |
| first assumption |
| |
second assumption |
|
semantics?
Semantics of nested boxes
| ⋮ |
|
|
| |
| first assumption |
| |
second assumption |
|
- A and B are consequences of premises and A
- C, D and E are consequences of premises, A and
C
more generally: consequences of premises and all assumptions of boxes still
open
Condition on formulae
the condition generalizes as:
each formula is a consequence of the premises and all assumptions of the boxes
it is in
Effects of condition
- a formula in a box cannot be used to generate a formula outside that
box
- it can be used to generate a formula in the same box, or in a box within
- formulae of closed boxes cannot be used any longer
- once a box is closed, it can only be used as a whole with
(→I)
(rule (→I) is: from box infer A→B)
Nested boxes: example (1)
x∧y→z ⊧ x→(y→z)
Nested boxes: example (2)
Nested boxes: example (3)
Nested boxes: example (4)
Nested boxes: example (5)
Nested boxes: example (6)
Nested boxes: example (7)
Nested boxes: example (8)
Nested boxes: example (9)
claim proved:
x∧y→z ⊧ x→(y→z)
holds
How to proceed
- to obtain a formula, introduce its connectives
- use (∨I), (∧I), (¬I), (→I)
to do so
- (→I) requires a box:
use the precondition of the formula to obtain as the assumption
- use (∨E), (∧E), (¬E), (→E) only
to get formulae that are needed for the previous points
policy?
Method
natural deduction does not specify a policy of application of the rules
⇓
hard to automate
Assumptions
assumptions are arbitrary formulae
possible to keep introducing useless assumptions
(these assumptions are useless to prove (x∧¬y)→z)
Natural deductions: variants
different rules, same mechanism
Natural deduction, in general
- proof=sequence of formulae
- rules for obtaining new formulae from existing ones
- assumptions can be made
- what is obtained using an assumption is consequence of that assumption
- some rules allow inferring something when an assumption is retracted