Modal logics

propositional logic
statements that can be true or false
modal logic
statements on sets of different scenarios

Propositional vs. modal: example

x = statement represented by x is true (now, in the current situation)
 
□x = the statement x is true in a set of different scenarios

what a "scenario" is depends on the application:

  • x is true in all situations considered possible
  • x is true now and in all future time points
  • x ought to be true
  • x is true after the execution of a program
    (is true in all states that may result from executing the program)

Propositional vs. modal: difference

propositional
statements refer to a single, specific case
modal
several different possibilities are considered
statements may refer to one, but also to a number of them

Modal logics: syntax

recursively defined from:

the modal operators and are applied to a single formula,
which may contain ¬, and but also other and

examples:

usual recursive definition of syntax
(variable is a formula, if A and B are two formulae then A ∧ B is a formula, etc.)


Precedence

unary operators ¬, and have the same precedence

they take precedence over the binary connectives and

therefore, □x ∨ y is:


Diamond

is complementary to

□x
means that x is true in all considered situations
◇x
means that x is true in at least one of the considered situations

depending on the application, ◇x therefore may mean:

it holds ◇F=¬□¬F


Semantics

□F means that formula F is true in various situations

cannot be evaluated with a single interpretation
(an interpretation represents one situation)

evaluating a formula requires not just an interpretation, but a set of interpretations

semantics is complicated
varies with the application


Two modal logics

(others exist)

evaluating a formula requires:

S5
truth in a set of scenarios
□F means that F is true in all scenarios considered possible
required to evaluate a formula: a set of propositional interpretations
(describing the possible scenarios)
TL
truth in the future
□F means that F is true now and forever
required to evaluate a formula: a sequence of interpretations
(describing the state at each time point)

Semantics: generalization

in both cases:

in order to evaluate a modal formula, a set of interpretations is required

they differ because:

interpretations are given as a set (S5), or as a sequence (TL)

Kripke model: a generalization including both, but also many other ones


Kripke model


What is a "world", exactly?

the set of possible worlds is a set of elements

is not a set of propositional interpretations

why not?


Couldn't this be simplified?

worlds are just elements of a set…

… but then a propositional interpretation is associated to each world

why not defining a model to be: a set of interpretation plus their links?


Different worlds, same interpretation

for S5, the simplified definition would work:
no point in having two worlds with the same interpretation

in TL, it does not:
two different time points may have the same interpretation
(example on the next slide)


Different worlds, same interpretation in TL

two different time points may have the same interpretation

example: the sequence of states:

ab, ¬ab, a¬b, ab, ab, ab, …     (ab forever)

interpretation ab recurs in different time points (worlds)

□a is false in the first state, but true in the fourth

state one and state four have the same interpretation,
but
a modal formula evaluates differently on them

Kripke model, formal definition

⟨R,S,V⟩

what is the relation?

how is it used?


Accessibility relation

intuition: □F means that F is true in a set of worlds

both cases can be encoded using the right accessibility relation

the point: the relation tells the worlds to look when evaluating □F (cont.)


Evaluation

formulae are evaluated in a model and one of its worlds

x is true in ⟨R,S,V⟩,s
if x is true in the propositional interpretation V(s)
F∧G is true in ⟨R,S,V⟩,s
if both F and G are true in ⟨R,S,V⟩,s
(same for ∨ and ¬)
□F true in ⟨R,S,V⟩,s
if F is true in ⟨R,S,V⟩,s'
for all s' ∈ S such that ⟨s,s'⟩ ∈ R

notation: ⟨R,S,V⟩,s ⊧ F

(diamond: later)


Evaluation, in words

formulae are evaluated recursively in the same state except for boxed formulae

for boxed formulae, evaluate subformula in all linked states

in all worlds linked from s formula F is true ⇒ □F is true in s


Evaluation, example

truth in s:


Evaluation, example

truth in s':


Truth in a model

a formula is true in a model if it is true in all states of the model

formally: ⟨R,S,V⟩ ⊧ F if ⟨R,S,V⟩,s ⊧ F for all worlds s∈S


Diamond

◇F is true in s if F is true in a world s' such that ⟨s,s'⟩∈R

F is true in one world reachable from s   ⇒   ◇F is true in s

one world is enough!


Models and applications

not all models are right for all kinds of applications:

S5
only models where R=S×S
each model linked to each other
TL
R forms a "row" of states (+transitivity)

Assumptions on models and truth

the same formula may be true in all models of a logic but not of another

example: ◇F → □◇F


Formula in S5

◇F → □◇F always true: proof

(for simplicity, we use lines in place of arrows;
can be done because the relation is symmetric)

(loops omitted)

◇F is true in a world s

there exists s' where F is true

Formula in S5 (2)

for every other s'',
it holds ⟨s'',s'⟩∈R

◇F is true in all worlds

Formula in S5 (3)

◇F is true in all words;
as a result, □◇F is true as well
(whichever world we choose, ◇F is true in all linked ones)

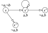
Formula in TL

◇F → □◇F false in TL: proof

counterexample:

loops and arcs that follow from transitivity omitted
(shown only when necessary)


Formula in TL (2)

F is true in the third state
reachable from initial state

◇F true in the initial state


Formula in TL (3)

F false from fourth state on

◇F false in the fourth state


Formula in TL (4)

◇F false in the fourth state
reachable from the initial state

□◇F false in the initial state

conclusion: ◇F → □◇F false


Formulae and logics

◇F → □◇F is:

validity depends on the assumptions on the relation R
(which vary with the logic: S5 or TL, in the example)


Conditions on relations

for simplicity, ⟨s,t⟩ ∈ R is denoted as sRt

the accessibility relation may be:

some formulae are true in all models only if some assumptions hold


Reflexivity and truth

some formulae are always true only if the relation is reflexive


Symmetry


Seriality


Truth and assumptions on R

conclusion:

some formulae are always true only if the relation satisfies certain conditions

Truth in a modal logic

every modal logic (S5, TL, …) is specified by the assumptions on the accessibility relation

a formula is true in a logic if it is true in all models whose relation satisfies the corresponding assumptions (e.g., reflexivity, transitivity, …) of that logic

K is the modal logic with no assumption on the relation


Satisfiability

formula F is satisfiable if there exist ⟨R,S,V⟩ and s such that ⟨R,S,V⟩,s ⊧ F

where:

by the second point, satisfiability depends on the considered modal logic