DPLL algorithm

backtracking + unit propagation + pure literal rule


The backtracking algorithm

in general, to find a set of values satisfying some conditions:

set a variable to each possible value in turn

for each value, recursively repeat


Backtracking for satisfiability

find values of x1, ..., xn satisfying the formula F

algorithm:

  1. choose a variable xi
  2. check satisfiability of F + (xi=true)
  3. check satisfiability of F + (xi=false)

(more details later)


Satisfiability: recursive calls

the two recursive calls are: "check satisfiability of F + (xi=value)"

in general: check satisfiability when some variables already have a value

partial interpretation = assigns true/false to some variables


Backtracking with partial interpretation

algorithm (some parts missing):

boolean sat(formula F, partial_interpretation I)

  1. ... (see below)
  2. choose xi that I does not assign
  3. return sat(F, I ∪ { xi=true }) or sat(F, I ∪ { xi=false })

satisfiability of F = satisfiability of F with I=∅

missing: base case of recursion, choice of xi


Base case

recursion adds a xi=value to I

at some point, all variables are assigned

we can now check whether F is true or false

but:

sometimes, we can check whether F is true or false even if some variables are still unassigned

Value of formulae under partial interpretations

in the formula F:

result could be:

  1. true
  2. false
  3. some formula containing only unassigned variables

in the first two cases, the formula has a value that does not depend on the unassigned variables


Partial interpretation, example 1

I={x=true, z=false}

F = { x ∨ y, ¬x ∨ ¬y ∨ z }

replace variables with values:

F= { x ∨ y, ¬x ∨ ¬y ∨ z } =
{ true ∨ y, ¬true ∨ ¬y ∨ false } =
{ true, ¬y } =
{ ¬y }

formula is not true nor false

value depends on the value of variable y


Partial interpretation, example 2

I={x=true, z=false}

F = { ¬x ∨ y, ¬x ∨ z }

replace variables with values:

F={ ¬x ∨ y, ¬x ∨ z } =
{ ¬true ∨ y, ¬true ∨ false }
{ false ∨ y, false ∨ false } =
{ y, false ∨ false } =
{ y, false }

formula is false

all clauses have to be satisfied

even a single false clause implies that the formula is false

(even if the first clause were true instead of z, formula would have been false


Partial interpretation, example 3

I={x=true, z=false}

F = {x ∨ y ∨ z, ¬y ∨ ¬z}

F={x ∨ y ∨ z, ¬y ∨ ¬z} =
{true ∨ y ∨ false, ¬y ∨ ¬false} =
{true ∨ y ∨ false, ¬y ∨ true} =
{true, true}

all clauses are true

formula is true


Partial interpretation and formula

given a partial interpretation, a formula could be:

in backtracking:

if the formula is true or false (first two cases) according to the partial interpretation, there is no need to perform the recursive calls

Backtracking with check of partial interpretation

boolean sat(formula F, partial_interpretation I)


Avoid second recursive calls

implicit in most imperative programming language: if the first argument of an or is true, do not evaluate the others

for clarity, backtracking is as follows:

boolean sat(formula F, partial_interpretation I)


Backtracking, first example

{ ¬x1 ∨ ¬x2, x1 ∨ ¬x2, ¬x1 ∨ ¬x3 }


Backtracking, first example (1)

start with empty assignment {}

choose a variable, for example x1

do two recursive calls with assignments {x1=true} and {x1=false}


Backtracking, first example (2)

two recursive calls with assignments {x1=true} and {x1=false}


Backtracking, first example (3)

first recursive call is with assignment {x1=true}

{ ¬x1 ∨ ¬x2, x1 ∨ ¬x2, ¬x1 ∨ ¬x3 }

no clause of {¬x1 ∨ ¬x2, x1 ∨ ¬x2, ¬x1 ∨ ¬x3} is falsified by {x1=true}

no contradiction: choose an unassigned variable


Backtracking, first example (4)

branching variable x2 (for example)

do two recursive calls adding the two possible evaluations of x2 to the original one

partial interpretations in the recursive calls are then {x1=true, x2=true} and {x1=true, x2=false}


Backtracking, first example (5)

first recursive call with assignment {x1=true, x2=true}:

in {¬x1 ∨ ¬x2, x1 ∨ ¬x2, ¬x1 ∨ ¬x3}, the clause ¬x1 ∨ ¬x2 is falsified


Backtracking, first example (6)

contradiction, close branch of the tree


Backtracking, first example (7)

go back to node labeled x2

x2=true already tried

now try x2=false


Backtracking, first example (8)

assignment {x1=true, x2=false}

formula {¬x1 ∨ ¬x2, x1 ∨ ¬x2, ¬x1 ∨ ¬x3}, is not falsified

choose variable: only left unassigned is x3


Backtracking, first example (9)

two recursive calls: x3=true, x3=false


Backtracking, first example (10)

first recursive call has assignment {x1=true, x2=false, x3=true}

in formula {¬x1 ∨ ¬x2, x1 ∨ ¬x2, ¬x1 ∨ ¬x3}, the clause ¬x1 ∨ ¬x3 is falsified


Backtracking, first example (11)

clause is falsified=formula is falsified

close branch


Backtracking, first example (12)

backtrack to node labeled x3


Backtracking, first example (13)

second recursive call for x3

value x3=false

assignment is {x1=true, x2=false, x3=false}

all clauses in {¬x1 ∨ ¬x2, x1 ∨ ¬x2, ¬x1 ∨ ¬x3}, are satisfied!

¬x1 ∨ ¬x2
because x2=false
x1 ∨ ¬x2
because x1=true
¬x1 ∨ ¬x3
because x3=false

Backtracking, first example (14)

no other recursive calls

if a subcall returns true, the call returns true as well

this means: in this case, we go back to original call and return true

model found, no need to go ahead

formula is satisfiable


Backtracking, first example (15)

SVG animation of the tree

Backtracking, second example

{ ¬x1 ∨ ¬ x2, ¬x1 ∨ x2, x1 ∨ ¬x2, x2 ∨ ¬x3, x1 ∨ x3 }

start with empty assignment

formula is not false under this interpretation

choose a variable

as an example, we choose x1


Backtracking, second example (1)

branch on x1


Backtracking, second example (2)

first recursive calls with x1=true

formula { ¬x1 ∨ ¬ x2, ¬x1 ∨ x2, x1 ∨ ¬x2, x2 ∨ ¬x3, x1 ∨ x3 } not made false by this assignment

choose an unassigned variable


Backtracking, second example (3)

as an example, we choose x2

two other recursive calls, with assignments {x1=true, x2=true} and {x1=true, x2=false}


Backtracking, second example (4)

first recursive (sub)call:
assignment {x1=true, x2=true}

formula was { ¬x1 ∨ ¬ x2, ¬x1 ∨ x2, x1 ∨ ¬x2, x2 ∨ ¬x3, x1 ∨ x3 }

clause ¬x1 ∨ ¬ x2 false

call returns false

no need to proceed any further, even if x3 is still unassigned


Backtracking, second example (5)

recursion goes back to node marked x2

partial assignment were {x1=true} there


Backtracking, second example (6)

do second recursive (sub)call adding x2=false to x1=true

{ ¬x1 ∨ ¬ x2, ¬x1 ∨ x2, x1 ∨ ¬x2, x2 ∨ ¬x3, x1 ∨ x3 }

clause ¬x1 ∨ x2 false

close branch


Backtracking, second example (7)

branch closed, go back to x2


Backtracking, second example (8)

both recursive subcalls returned false, call returns false

go back to the first call, where x1=false is left to try


Backtracking, second example (9)

partial assignment is {x1=false}

{ ¬x1 ∨ ¬ x2, ¬x1 ∨ x2, x1 ∨ ¬x2, x2 ∨ ¬x3, x1 ∨ x3 }

formula is not false

choose a variable


Backtracking, second example (10)

as an example, we choose x3


Backtracking, second example (11)

recursive call with partial assignment {x1=false, x3=true}

{ ¬x1 ∨ ¬ x2, ¬x1 ∨ x2, x1 ∨ ¬x2, x2 ∨ ¬x3, x1 ∨ x3 }

formula is not false in this assignment

choose another variable and set it to true and false


Backtracking, second example (12)

only unassigned variable left is x2


Backtracking, second example (13)

assignment {x1=false, x3=true, x2=true}

{ ¬x1 ∨ ¬ x2, ¬x1 ∨ x2, x1 ∨ ¬x2, x2 ∨ ¬x3, x1 ∨ x3 }

clause x1 ∨ ¬x2 is falsified


Backtracking, second example (14)

backtrack to x2


Backtracking, second example (15)

assignment {x1=false, x3=true, x2=false}

{ ¬x1 ∨ ¬ x2, ¬x1 ∨ x2, x1 ∨ ¬x2, x2 ∨ ¬x3, x1 ∨ x3 }

clause x2 ∨ ¬x3 is falsified


Backtracking, second example (16)

backtrack to x2


Backtracking, second example (17)

both calls from node x2 returned false

go back to node x3


Backtracking, second example (18)

assignment {x1=false, x3=false}

{ ¬x1 ∨ ¬ x2, ¬x1 ∨ x2, x1 ∨ ¬x2, x2 ∨ ¬x3, x1 ∨ x3 }

clause x1 ∨ x3 falsified


Backtracking, second example (19)

calls from x3 both returned false


Backtracking, second example (20)

go back to x1

we already tried x1=true and x1=false


Backtracking, second example (21)

return false

formula is unsatisfiable


Backtracking, second example (22)

SVG animation of the tree

Backtracking, third example

{ x2 ∨ x1, ¬x1, ¬x2 ∨ ¬x3, x3 ∨ x1 }


Backtracking, third example

{ x2 ∨ x1, ¬x1, ¬x2 ∨ ¬x3, x3 ∨ x1 }

observation: set contains the unit clause x1


Unit propagation

in DPLL can be used for:

second point is especially useful:

variables get a value by:

each recursive call generates a subtree of recursive calls

one instead of two means half recursive calls (on average)


DPLL with UP

boolean sat(formula F, partial_interpretation I)

extra advantage: UP may discover inconsistency


Unit propagation: example

in the last of examples above, the set contains a unit clause:

{ x2 ∨ x1, ¬x1, ¬x2 ∨ ¬x3, x3 ∨ x1 }

up says x1 is false

remove from clauses where occurs positive:

x2 ∨ x1
becomes x2x1, which is x2
x3 ∨ x1
becomes x3x1, which is x3

as a result, both x2 and x3 are true

clause ¬x2 ∨ ¬x3 is contradicted


Unit clauses, in general

in the example, a unit clause was in the original set

may also show up with a partial assignment


Unit clauses from partial assignment

second of the examples above:

{ ¬x1 ∨ ¬ x2, ¬x1 ∨ x2, x1 ∨ ¬x2, x2 ∨ ¬x3, x1 ∨ x3 }

no unit clause in the original set

two recursive calls

first recursive call with x1=true

x1=true is like an additional unit clause {x1}

apply unit propagation


Unit propagation in a recursive call

{ ¬x1 ∨ ¬x2, ¬x1 ∨ x2, x1 ∨ ¬x2, x2 ∨ ¬x3, x1 ∨ x3 }

recursive call with x1=true

remove x1 where negative:

¬x1 ∨ ¬x2
¬x1 ∨ ¬x2 becomes ¬x2
¬x1 ∨ x2
¬x1 ∨ x2 becomes x2

contradiction is reached

recall that backtracking does a recursive call instead:


Unit propagation: savings

in this case, only two recursive calls are saved

more generally, the subtree rooted in the node could have been exponentially large


Pure literal rule

what about a in the following formula?

{ a ∨ ¬ b ∨ ¬ c, a ∨ c, b ∨ ¬d}


Constraining a single value

{ a ∨ ¬ b ∨ ¬ c, a ∨ c, b ∨ ¬c}

some occurrences of a

no occurrence of ¬a

if a variable is always positive or always negative in a formula, we say it is pure


Choice of value of pure literals

in general (a not pure):

{ a ∨ ¬ b ∨ ¬ c, a ∨ c, b ∨ ¬c, ¬ a ∨ b}

if a is pure:

{ a ∨ ¬ b ∨ ¬ c, a ∨ c, b ∨ ¬ c}

setting a=true has some advantage and no disadvantage


Pure literal rule

if a variable only occurs positively in a formula, set it to true
if a variable only occurs negated in a formula, set it to false

remove clauses containing the literal (as usual)

may create new pure literals


New pure literals

in the example { a ∨ ¬ b ∨ ¬ c, a ∨ c, b ∨ ¬c}:

a only positive, set to true

remove clauses containing a

remains {b ∨ ¬c}

both b and c pure
(first positive, second negative)


Pure literal rule, in practice

keep count of how many clauses contain a and ¬a

if a clause is removed by UP, decrease

when a counter reach zero, variable is pure


DPLL

complete algorithm:

boolean sat(formula F, partial_interpretation I)


Some observation about pure(F,I)

both I and F change

but F changes only because of the removal of some clauses

we remove clauses that are satisfied:
if we remove them all, formula is satisfied


New pure literals

up(F,i) may create new pure literals

example: b is not pure here:

{a, a ∨ ¬b, ¬a ∨ ¬b ∨ ¬c, ¬b ∨ c}

performing up, we get:

{¬b ∨ ¬c, ¬b ∨ c}

b is now pure (all occurrences are negative)


New unit clauses

pure(F,I) cannot create new unit clauses

reason: it only removes some clauses

no non-unary clause becomes unary by pure(F,i), since this procedure does not modify individual clauses


Why first up then pure

up might create new pure literals

pure cannot create new unit clauses


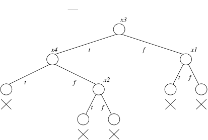
DPLL, complete example

{ ¬x1 ∨ x3 ∨ x4, ¬x2 ∨ x6 ∨ x4, ¬x2 ∨ ¬x6 ∨ ¬x3,
¬x4 ∨ ¬x2, x2 ∨ ¬x3 ∨ ¬x1, x2 ∨ x6 ∨ x3,
x2 ∨ ¬x6 ∨ ¬x4, x1 ∨ x5, x1 ∨ x6,
¬x6 ∨ x3 ∨ ¬x5, x1 ∨ ¬x3 ∨ ¬x5 }


DPLL, complete example (2)

choose branching variable x1 (for example)

try x1=true first

apply up and pure


DPLL, complete example (3)

with {x1=true} the clauses become:

{ ¬x1 ∨ x3 ∨ x4, ¬x2 ∨ x6 ∨ x4, ¬x2 ∨ ¬x6 ∨ ¬x3,
¬x4 ∨ ¬x2, x2 ∨ ¬x3¬x1, x2 ∨ x6 ∨ x3,
x2 ∨ ¬x6 ∨ ¬x4, x1 ∨ x5, x1 ∨ x6,
¬x6 ∨ x3 ∨ ¬x5, x1 ∨ ¬x3 ∨ ¬x5 }

=
{ x3 ∨ x4, ¬x2 ∨ x6 ∨ x4, ¬x2 ∨ ¬x6 ∨ ¬x3,
¬x4 ∨ ¬x2, x2 ∨ ¬x3, x2 ∨ x6 ∨ x3,
x2 ∨ ¬x6 ∨ ¬x4,
¬x6 ∨ x3 ∨ ¬x5 }

x5 only occurs negated

can be set to false, removing clause

{ x3 ∨ x4, ¬x2 ∨ x6 ∨ x4, ¬x2 ∨ ¬x6 ∨ ¬x3,
¬x4 ∨ ¬x2, x2 ∨ ¬x3, x2 ∨ x6 ∨ x3,
x2 ∨ ¬x6 ∨ ¬x4 }


DPLL, complete example (4)

choose variable x2, value true first


DPLL, complete example (5)

with {x1=true, x2=true} the clauses become:

{ x3 ∨ x4, ¬x2 ∨ x6 ∨ x4, ¬x2 ∨ ¬x6 ∨ ¬x3,
¬x4¬x2, x2 ∨ ¬x3, x2 ∨ x6 ∨ x3,
x2 ∨ ¬x6 ∨ ¬x4 }

=
{ x3 ∨ x4, x6 ∨ x4, ¬x6 ∨ ¬x3,
¬x4 }

from ¬x4 we derive x3 and x6

they falsify the clause ¬x6 ∨ ¬x3

contradiction, no need to apply pure


DPLL, complete example (5)

contradiction reached, backtrack


DPLL, complete example (5)

with {x1=true, x2=false}, clauses become:

{ x3 ∨ x4, ¬x2 ∨ x6 ∨ x4, ¬x2 ∨ ¬x6 ∨ ¬x3,
¬x4 ∨ ¬x2, x2 ∨ ¬x3, x2 ∨ x6 ∨ x3,
x2 ∨ ¬x6 ∨ ¬x4 }

=
{ x3 ∨ x4,
¬x3, x6 ∨ x3,
¬x6 ∨ ¬x4 }

from ¬x3 we derive x4 and x6

they contradict clause ¬x6 ∨ ¬x4

contradiction, no need to apply pure


DPLL, complete example (6)

backtrack to first node, try other branch


DPLL, complete example (6)

with {x1=false} clauses become:

{ ¬x1 ∨ x3 ∨ x4, ¬x2 ∨ x6 ∨ x4, ¬x2 ∨ ¬x6 ∨ ¬x3,
¬x4 ∨ ¬x2, x2 ∨ ¬x3 ∨ ¬x1, x2 ∨ x6 ∨ x3,
x2 ∨ ¬x6 ∨ ¬x4, x1 ∨ x5, x1 ∨ x6,
¬x6 ∨ x3 ∨ ¬x5, x1 ∨ ¬x3 ∨ ¬x5 }

=
{ ¬x2 ∨ x6 ∨ x4, ¬x2 ∨ ¬x6 ∨ ¬x3,
¬x4 ∨ ¬x2, x2 ∨ x6 ∨ x3,
x2 ∨ ¬x6 ∨ ¬x4, x5, x6,
¬x6 ∨ x3 ∨ ¬x5, ¬x3 ∨ ¬x5 }

from x5 we derive ¬x3

since x6 is true, clause ¬x6 ∨ x3 ∨ ¬x5 is falsified


DPLL, complete example (7)

contradiction reached on last node

set is unsatisfiable


Choice of branching variable

which is the best, among the unassigned ones?

does it make any difference?


Same example, different choices

same set as previous example

{ ¬x1 ∨ x3 ∨ x4, ¬x2 ∨ x6 ∨ x4, ¬x2 ∨ ¬x6 ∨ ¬x3,
¬x4 ∨ ¬x2, x2 ∨ ¬x3 ∨ ¬x1, x2 ∨ x6 ∨ x3,
x2 ∨ ¬x6 ∨ ¬x4, x1 ∨ x5, x1 ∨ x6,
¬x6 ∨ x3 ∨ ¬x5, x1 ∨ ¬x3 ∨ ¬x5 }

choose x3 first
then other variables


Same example, different choices

(execution details)

larger tree → longer running time

in general: difference may be exponential


Choice of branching variable: principle

try to reduce the number of the subsequent recursive calls in sat(F, I ∪ {xi=true}) and sat(F, I ∪ {xi=false})


Heuristics based on binary clauses

many binary clauses containing ¬xi = many assignments obtained by unit propagation in sat(F, I ∪ {xi=true})

same for xi and sat(F, I ∪ {xi=false})

choose xi that is contained in many binary clauses


Sign of variable

x3 positive in 10 binary clauses and negative in none

x8 positive in 4 binary clauses and negative in 4

how large the two subtrees are?


Evaluation of trees

assume that no further propagation is done after first step


Assignments in first step of unit propagation

x3 (positive in 10, negative in none)
=true: zero
=false: 10
x8 (positive in 4, negative in 4)
=true: 4
=false: 4

cost is exponential in the number of variables
assume 15 total

x3
cost= 215-1-10+215-1= 24+214= 8+16384= 16394
x8
cost= 215-1-4+215-1-4= 210+210= 1024+1024= 2048
better savings obtained by variables where positive and negative occurrences in binary clauses are balanced

A possible choice

old method based on an heuristics

for each variable xi

choose variable xi that maximizes 1024p1ni+pi+ni

idea: variables that have some positive and negative occurrences are preferred over some having many positive but few negative (or vice versa)


Finding the model

what if the formula is satisfiable?

different way of choosing the branching variable?

a first (wrong) principle: concentrate on choosing between xi and ¬xi

(wrong) principle: try to guess the sign of xi in a model


Satisfiability and partial unsatisfiability

all choices correct: model found in linear time

impossible to make all choices right

what if one is wrong?


One wrong choice

wrong choice=no model in the subtree

formula unsatisfiable with partial model

unsatisfiability: search tree may be exponential

therefore: most of the time spent on the unsatisfiable subformula

even if formula is satisfiable, the hard part of the problem is still dealing with unsatisfiable formulae