Somma dei primi elementi di una serie

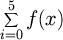
Consideriamo questo problema: abbiamo una serie definitita come la somma dei valori di una funzione f(x). Vogliamo calcolare la somma di questi valori per x che va da 0 a un certo valore prefissato, per esempio 5 oppure 29. In altre parole, si vuole sapere il valore di:

Per fare questo, si può procedere nel modo seguente: si dichiara una variabile somma che contiene la somma parziale calcolata fino a questo punto. Si comincia con somma=0;. Poi si aggiunge a questa variabile il valore della funzione valutata con argomento 0, poi con argomento 1, poi 2, ecc. fino al limite considerato. Questo procedimento è stato seguito nel programma Serie.java per la funzione f(x)=x*x.

/* 
  Calcola la somma dei primi valori di una serie.
*/

class Serie {
  public static void main(String[] args) {
    int x;
    int somma;

    somma=0;

    x=0;
    somma=somma+x*x;

    x=1;
    somma=somma+x*x;

    x=2;
    somma=somma+x*x;

    x=3;
    somma=somma+x*x;

    x=4;
    somma=somma+x*x;

    x=5;
    somma=somma+x*x;
  
    System.out.println("La somma vale "+somma);
  }
}
    

Tutto questo funziona perfettamente, ma è possibile solo se i valori da calcolare sono pochi. Se si volesse per esempio la somma dei valori della funzione da 0 a 100, sarebbero necessarie più di 200 linee di codice. Questo meccanismo risolutivo ha un altro problema: ogni volta che si vuole effettuare un calcolo su un intervallo diverso (per esempio di vuole passare da 200 a 90) occorre modificare radicalmente il codice del programma, eliminando o aggiungendo istruzioni.

Il programma di somma dei valori di una funzione si può facilmente realizzare usando un ciclo. Vogliamo infatti eseguire la istruzione somma=somma+x*x per i che vale prima 0, poi 1, poi 2, ecc, fino a un valore da noi scelto. Il programma SerieFor.java calcola il valore della somma usando un ciclo.

/*
  Somma dei primi valori di una serie
*/

class SerieFor {
  public static void main(String[] args) {
    int x;
    int somma;

    somma=0;
    for(x=0; x<=5; x=x+1) {
      somma=somma+x*x;
    }

    System.out.println("La somma vale "+somma);
  }
}


A parte la brevità del programma, si fa notare come sia facimente modificabile: per esempio, se si vuole calcolare la somma da 0 a 100 (invece che da 0 a 5), basta modificare la istruzione for, facendola diventare for(x=0; x<=100; x=x+1) {.