Tableaux for first-order logic

we extend the rules for propositional logic

principle is the same:

break the formula into its components until contradiction can be detected by simple inspection

Rules

propositional:
A ∧ B
A
B
A ∨ B
A | B
first-order:
∀x F
F[t/x]
∃x F
F[c/x]
where t is a ground term where c is a new constant

Existential quantification rule

∃x F
F[c/x]

c is a new constant

this is Skolemization

∃x F is satisfiable if and only if F[c/x] is so

the second formula is "almost" equivalent to the first
(almost=apart from c, not in the original formula)


Universal quantification rule

∀x F
F[t/x]

∀x F means: for every object of the domain, F is true

a term t is evaluated to an object of the domain

therefore, F[t/x] is true

this is a consequence of the first formula
(note: not equivalent, just a consequence)


New constants

when expanding ∀x F to F[t/x] term t may contain all function symbols and constants, including the ones created by Skolemization


Example

{∀x P(x), ∃x ¬P(f(x))}


Example, first step

place formulae in column


Example, expansion of existential quantifier

create a new constant c

next: expand


Example, expansion of universal quantifier

to expand ∀x P(x), we can use any ground term t

possible choices:

we choose f(c) for the obvious reasons


Example, expansion of universal quantifier

expand ∀x P(x) using f(c) as the term


Closure

the branch contains ¬P(f(c)) and P(f(c))

opposite literals ⇒ the branch can be closed

all branches closed (only one exists!) ⇒ set is unsatisfiable


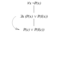
Second example

{∀x ¬P(x), ∃x (P(x) ∨ P(f(x)))}


First step

which formula to expand first?

no constant in the tableau so for, so no ground term

in order to apply the rule for ∀, we would have to create one


Second step

existentially quantified formula expanded

the universal quantification expansion rule could be now applied

also the disjunction


Disjunction

disjunction expanded


Closure

first branch closed applying the rule for universal quantification

still an unclosed branch!

is set satisfiable?


Unsatisfiability of the set

the set contains ∀x ¬P(x)

we have P(f(c)) in the unclosed branch

the two contradict each other: P cannot be always false but at the same time true for the element of the domain f(c)

we need to apply the rule for universal quantifiers again, generating ¬P(f(c))


Multiple applications

∀x ¬P(x) expanded again,
now on the second branch and with a different ground term

all branches closed ⇒ set is unsatisfiable


Alternative development

there was a choice, at this point:

expand the disjunction or the universal quantifier

make the second choice now


Other choice

P(c) could be useful to closing some branch
use c as the ground term


Alternative, one step more

disjunction expanded


Closure

the first branch can be closed

still an unclosed branch


Multiple application

∀x ¬P(x) already expanded on the second branch
(expansion done in the path from root to P(f(c))


Alternative: unsatisfiability

expand universally quantified formula again

the second branch can now be closed


The complete tableau

formula ∀x ¬P(x) was expanded twice on the same branch

necessary for closing the tableau

still a valid tableau for the set (proves unsatisfiability)

in general:

the same universally quantified formula may need to be expanded on the same branch more than once

Multiple application

in the previous case, the set

example that cannot be closed without multiple applications:

{P(a), ∀x (P(x) ∧ ¬P(f(x))}


At some point...

tableau after expanding every formula in every branch once

not closed


Multiple application, closure

closure requires expansion of the universally quantified formula a second time


Multiple application: conclusion


Example

{ ∀x ¬P(x,a), P(a,b), ∀x∀y (¬P(x,y) ∨ P(y.x)) }


Solution

is this the only possible tableau for this set?

how did we reach it?


Meaning of formulae

∀x∀y (¬P(x,y) ∨ P(y,x)) means that P is "symmetric"

therefore, P(a,b) and ∀x ¬P(x,a) contradict each other

this information has been used when developing the tableau

what about making the wrong choice?


Another development for the same set

clearly useless

clearly = only knowing the way to prove unsatisfiability in this case

for a computer, b is a perfectly valid choice of a term: simple and mentioned in the tableau already = potentially useful


Further (wrong) development

not only lacks progresses toward proving unsatisfiability

there are two branches now, instead of one

unsatisfiability is yet to be proved in both

making the wrong choices may make the problem even harder to solve


Choice of terms

rules for conjunction, disjunction and existential quantification are deterministic

only indeterminacy is their order of application

different for universal quantification:

∀x F
F[t/x]

the problem is:

which term t should be used?
choose randomly
as shown in the previous example, this could lead to increase difficulty to close the tableau
wait until all other rules have been applied
the rule for universal quantification could be the only one left to apply
use only terms already in the tableau
done in the previous example, does not solve the problem

Infinite expansions

since the rule for universal quantification can be applied an unbounded number of times, it may lead to a forever-expanding tableau:

{∀x P(x), ¬P(f(a))}

this is a valid (but useless) tableau for the set


Completeness

it can be proved that:

S unsat   ⇒   a closed tableau for S exist

in the propositional case, a closed tableau is always keeping applying rules (even in a "wrong" order, such as disjunctions before conjunctions)

in the first order case, this is not always the case: as the previous example shows, it is possible to keep expanding the tableau forever even if the set is unsatisfiable


Complete proof procedure

an algorithm of application of the expansion rules that produces a closed tableau if the set is unsatisfiable

as seen before, applying rules at random yields to a complete proof procedure in the propositional case

reason: keeping applying rules leads to closure eventually, if the set is unsatisfiable

in the first-order case, applying rules at random does not yield to a complete proof procedure

reason: the tableau may not close even if the set is unsatisfiable


Fairness

general concept in computer science

more or less:

unfairness = avoiding doing something useful forever

in the case of tableau:

a policy of application of the rules is unfair if some tableau contains a branch where one of its formulae ∀x F is never expanded with a specific ground term t

in other words: given a term t and branch of a tableau containing ∀x F, if the policy never expand the formula with t is unfair

fairness is the opposite of unfairness

given a term t and branch of a tableau containing ∀x F, the policy at some point will expand the formula using t


Effects of unfairness

unfairness means that the policy may forever "avoid" a term t while expanding ∀x F

in this case, the policy "skipped" f(a)

because of this, the tableau does not close even if the set is unsatisfiable


A complete proof procedure

a proof procedure that is fair is also complete

note that fairness concerns both ∀x F and t, not just t

counterexample: {∀x P(x), ∀x ¬P(x), Q(f(a))}

if ∀x ¬P(x) is never expanded, the tableau does not close


Choice of terms

a fair algorithm of choice of the application of the rules at some point will close all tableaux for unsatisfiable sets

still difficult to choose terms that lead to closure fast

terms that are useful are difficult to determine

solution: delay choice until usefulness of a term is clear
this is done employing unification (next page)